Índice
| 
   ||1|| Introducción ||2|| Generalidades
  de la glucólisis ||3|| Historia ||4|| Moléculas
  involucradas en la glucólisis ||5|| Etapa
  preparatoria de la glucólisis ||6|| Etapa
  de recompensa  | 
  
   ||7|| Cálculos
  energéticos de la glucólisis ||8|| Regulación
  de la glucólisis ||9|| Fermentación
  láctica ||10|| Aplicaciones
  de la fermentación láctica ||11|| Fermentación
  alcohólica ||12|| Referencias
  bibliográficas  | 
 
Portada
 1. Introducción 
|| Regresar al Índice || 
La glicólisis es la ruta metabólica
encargada de oxidar la glucosa con la finalidad de obtener energía para la
célula. Su nombre significa rompimiento de la molécula de la glucosa. Consiste
en 10 reacciones enzimáticas consecutivas que convierten a la glucosa en dos
moléculas de piruvato, el cual es capaz de seguir otras vías metabólicas y así
continuar entregando energía al organismo.
Históricamente en cualquier curso de
biología la primera ruta metabólica en ser estudiada en detalle es la
glucólisis. Usando las definiciones enunciadas en los preámbulos, la glucólisis
es una ruta metabólica, es decir una serie de reacciones químicas acopladas
unas con otras de modo que las energías libres estándar dan como resultado un
valor neto positivo “espontaneas hacia los productos”. Sin embargo esto no
sería posible sin el uso de enzimas que modifican los valores de las energías
libres. Otro aspecto importante es que la glucólisis es una ruta metabólica de
tipo catabólico y medianamente oxidante, es decir es una ruta de rompimiento y
adición de oxígenos; y adicionalmente sus productos no estarán completamente
catabolizadas/oxidadas por lo que estos a su vez pueden ingresar en otras rutas
catabólicas/oxidantes secundarias para la obtención de energía extra. 
 
1.1 Otto Fritz Meyerhof 
(12 de abril de 1884 - 6 de octubre de 1951)
Fue un médico y bioquímico alemán que ganó el Premio Nobel de Fisiología y
Medicina en 1922.
Otto Fritz Meyerhof nació en Hannover, en
Theaterplatz (ahora: Rathenaustrasse), hijo de padres judíos ricos. En 1888, su
familia se mudó a Berlín, donde Otto pasó la mayor parte de su infancia y donde
comenzó sus estudios de medicina. Continuó estos estudios en Estrasburgo y
Heidelberg, de los que se graduó en 1909, con un trabajo titulado "Contribuciones a la teoría psicológica de
la enfermedad mental". En Heidelberg, conoció a Hedwig Schallenberg.
Se casaron en 1914 y se convirtieron en padres de una hija, Bettina, y dos
hijos, Gottfried (quien, después de la emigración, se refirió a sí mismo como
Geoffrey) y Walter.
En 1912, Otto Meyerhof se trasladó a la
Universidad de Kiel, donde recibió una cátedra en 1918. En 1922, recibió el
Premio Nobel de Medicina, con Archibald Vivian Hill, por su trabajo sobre el
metabolismo muscular, incluida la
glucólisis. En 1929 se convirtió en uno de los directores del Instituto
Kaiser Wilhelm de Investigación Médica, cargo que ocupó hasta 1938. Escapando
del régimen nazi, emigró a París en 1938. Luego se mudó a los Estados Unidos en
1940, donde fue nombrado profesor invitado en la Universidad de Pensilvania en
Filadelfia. En reconocimiento a sus contribuciones al estudio de la glucólisis,
la serie común de reacciones de la vía en eucariotas se conoce como la vía
Embden-Meyerhof-Parnas. 
Meyerhof murió en Filadelfia a la edad de
67 años.
Fuentes: (Raju, 1998).
 2. Generalidades de la glucólisis 
|| Regresar al Índice || 
La importancia de la glucólisis consiste
en su relativa sencillez, a diferencia de las rutas como la respiración
oxidante o la fotosíntesis, no se requiere de tantas enzimas o de que estas
estén formando conglomerados para funcionar. De hecho, resulta interesante que
todas las reacciones de la glucólisis ocurren en el medio acuoso del citoplasma
donde por lo general la acción de las enzimas no es tan eficiente.  Otro de los aspectos importantes de la
glucólisis es su ubicuidad, virtualmente todo ser vivo de la actualidad posee
las enzimas necesarias para llevarla a cabo, por lo que pudiera decirse que
esta ruta metabólica podría poseer relevancias a nivel de la química prebiótica.
Por otro lado la ganancia energética de la glucolisis es bastante limitada,
pero esto se explica porque deja el proceso de oxidación a medias, y listo para
ingresar en otras rutas metabólicas.
La glucólisis también está relacionada con
un anabolismo/reducción, lo cual no es extraño ya que una reducción siempre
está acompañada de una oxidación, del mismo modo en los metabolismos un
catabolismo siempre estará acompañado por un anabolismo y viceversa,
análogamente el proceso vital funciona por el acoplamiento de ambos procesos
como si fuera un jin/jang taoísta. En concreto el anabolismo del que hablamos
es la síntesis de ATP a partir de ADP o cAMP “AMP cíclico es un indicador de
baja energía, muy muy baja energía hay que recalcar” y iones fosfato. Como
ambas reacciones están acopladas una ruta no puede ir “glucolisis” si no están
presentes los materiales de la otra tal como lo observaron Arthur Harden y
William Young en 1905 cuando estaban estudiando la producción de gas carbónico
por parte de la levadura, de un momento la producción de gas se detenía por la
falta de fosfato en la solución. Así pues uno de los productos fundamentales de
la glucólisis deberá ser ATP la unidad de porte de energía instantánea de las
células.
 
2.1 Importancia médica de los
carbohidratos
Los carbohidratos están ampliamente
distribuidos en plantas y animales. Tienen importantes funciones estructurales
y metabólicas. En las plantas, la glucosa se sintetiza a partir de dióxido de
carbono y agua por fotosíntesis, y se almacena como almidón o se utiliza para
sintetizar la celulosa de las paredes celulares de las plantas. Los animales
pueden sintetizar carbohidratos a partir de aminoácidos, pero la mayoría se
derivan en última instancia de las plantas. La glucosa es el carbohidrato más
importante; La mayoría de los carbohidratos dietéticos se absorben en el
torrente sanguíneo como la glucosa formada por hidrólisis de almidón dietético
y disacáridos, y otros azúcares se convierten en glucosa en el hígado.
La glucosa es el principal combustible metabólico
de los mamíferos (excepto los rumiantes) y un combustible universal del feto.
Es el precursor para la síntesis de todos los otros carbohidratos en el cuerpo,
incluyendo el glucógeno para el almacenaje; Ribosa y desoxirribosa en ácidos
nucleicos; Galactosa en lactosa de leche, en glicolípidos, y en combinación con
proteínas en glicoproteínas y proteoglicanos. Las enfermedades asociadas con el
metabolismo de los carbohidratos incluyen diabetes mellitus, galactosemia,
enfermedades de almacenamiento de glucógeno e intolerancia a la lactosa.
 
2.2 Química orgánica de la
glucosa
Dado que la glucosa es la base de nuestra
discusión, vale la pena exponer algunos hechos del lenguaje químico se ha de
emplear. En primera instancia hay que estar pendiente de la estructura
molecular:
Figura 2.1. A la izquierda
tenemos la estructura de hemiacetal de la glucosa con carbonos implícitos, y a
la derecha con carbonos explícitos.
Las fórmulas en anillo serán denominadas hemiacetales, anillos o ciclos.
Figura 2.2. A la izquierda
tenemos la estructura lineal de la glucosa con carbonos implícitos, y a la
derecha con carbonos explícitos.
Mientras que la estructura lineal (3) será
más útil para explicar el punto de corte, que es precisamente la idea central
de la glucolisis. En química orgánica se acostumbra que las fórmulas de
esqueleto simplifican los carbonos del esqueleto molecular que pasan a ser
simbolizados por los vértices y los hidrógenos unidos a ellos, mientras que
grupos funcionales como el ion óxido(2-) y el grupo hidroxilo(1-) si deben ser
representados.
Figura 2.3. Ejemplo del
clivaje de una molécula de 6 carbonos como la glucosa.
En el diagrama anterior podemos ver un
resumen de como el azúcar glucosa de 6 carbonos es oxidado a dos moléculas de 3
carbonos llamada ácido pirúvico. Otro detalle a tener en cuenta es que
dependiendo de la fuente los ácidos orgánicos pueden ser denominados en su
forma ácida como ácido pirúvico o en su forma iónica como piruvato. 
Figura 2.4. Ionización del ácido pirúvico en piruvato(1-).
En realidad, ambas están en lo correcto y
equivocadas. El ácido pirúvico como los ácidos orgánicos simplemente se
disocian parcialmente de un hidrógeno, por lo que existen ambas en estado de
equilibrio químico, sin embargo, para simplificar la discusión simbolizaremos a
estos ácidos orgánicos únicamente en sus formas ácidas, ya que de ese modo se
puede apreciar con más claridad el grupo funcional de ácido carboxílico.
 
2.5 Usos de la glucosa
La glucosa ocupa una posición central en
el metabolismo de plantas, animales y muchos microorganismos. Es relativamente
rica en energía potencial y, por lo tanto, es un buen combustible; La oxidación
completa de la glucosa a dióxido de carbono y agua se produce con un cambio
estándar de energía libre de -2.840 kJ / mol. Al almacenar glucosa como un
polímero de alto peso molecular como el almidón o el glucógeno, una célula
puede almacenar grandes cantidades de unidades de hexosas mientras mantiene una
osmolaridad citosólica relativamente baja. Cuando aumenta la demanda de
energía, estos polímeros de almacenamiento intracelular pueden liberar glucosa
y utilizarla para producir ATP, ya sea aeróbicamente o anaeróbicamente.
La glucosa no solo es un excelente
combustible, también es un precursor notablemente versátil, capaz de
suministrar una gran variedad de intermedios metabólicos para reacciones
biosintéticas. Una bacteria como Escherichia
coli puede obtener de la glucosa los esqueletos de carbono para cada
aminoácido, nucleótido, coenzima, ácido graso u otro intermediario metabólico
que necesita para crecer. Un estudio exhaustivo del destino metabólico de la
glucosa abarcaría cientos o miles de transformaciones. En animales y plantas
vasculares, la glucosa tiene cuatro destinos principales: puede ser 
(1) utilizada en la síntesis de
polisacáridos complejos destinados al espacio extracelular integrados en la
membrana como glucoproteínas o glicolípidos; 
(2) almacenado en células (como un
polisacárido o como sacarosa); 
(3) oxidado a un compuesto de tres
carbonos (piruvato) mediante glucólisis para proporcionar ATP e intermedios
metabólicos; o 
(4) oxidado a través de la ruta del
fosfato de pentosa (fosfogluconato) para producir ribosa 5-fosfato para la
síntesis de ácido nucleico y NADPH para procesos biosintéticos reductores.
Los organismos que no tienen acceso a la
glucosa de otras fuentes deben hacerla. Los organismos fotosintéticos producen
glucosa reduciendo primero el CO2 atmosférico en triosas, luego
convirtiendo las triosas en glucosa. Las células no fotosintéticas producen
glucosa a partir de precursores más simples de tres y cuatro carbonos mediante
el proceso de gluconeogénesis, invirtiendo efectivamente la glucólisis en una
vía que utiliza muchas de las enzimas de la propia glucólisis.
 3. Historia 
|| Regresar al Índice || 
La vía de la glucólisis, como se la conoce
hoy, tardó casi 100 años en descubrirse por completo (Barnett, 2003). Se requirieron los resultados combinados de muchos experimentos
más pequeños para comprender la ruta como un todo.
Figura 3.1. Louis Pasteur (Dole, Francia el
27 de diciembre de 1822-Marnes-la-Coquette, Francia el 28 de septiembre de
1895) fue un químico, físico, matemático y bacteriólogo francés, cuyos
descubrimientos tuvieron enorme importancia en diversos campos de las ciencias
naturales, sobre todo en la química y microbiología. A él se debe la técnica
conocida como pasteurización (eliminar parte o todos los gérmenes de un
producto elevando su temperatura durante un corto tiempo) que permitió
desarrollar la esterilización por autoclave. A través de experimentos, refutó
definitivamente la teoría de la generación espontánea y desarrolló la teoría
germinal de las enfermedades infecciosas. Por sus trabajos, se le considera el
pionero de la microbiología moderna, con lo que inició la llamada «Edad de Oro
de la Microbiología».
Los primeros pasos para comprender la
glucólisis comenzaron en el siglo XIX con la industria del vino. Por razones
económicas, la industria vitivinícola francesa trató de investigar por qué el
vino a veces se agriaba, en lugar de fermentar en alcohol. El científico
francés Louis Pasteur investigó este problema durante la década de 1850, y los
resultados de sus experimentos comenzaron el largo camino para dilucidar el
camino de la glucólisis. Sus experimentos mostraron que la fermentación ocurre
por la acción de microorganismos vivos; y que el consumo de glucosa de la
levadura disminuyó en condiciones aeróbicas de fermentación, en comparación con
las condiciones anaeróbicas (el efecto Pasteur).
Los experimentos de fermentación no celular de Eduard Buchner proporcionaron información sobre los pasos componentes de la glucólisis durante la década de 1890 (Kohler, 1971).
Figura 3.2. Eduard Buchner
(20 de mayo de 1860, Múnich - 13 de agosto de 1917, también en Múnich) fue un
destacado químico alemán, galardonado con el premio Nobel de Química en 1907
«por sus investigaciones en bioquímica y por su descubrimiento de la
fermentación no celular».
Buchner demostró que la conversión de
glucosa en etanol era posible usando un extracto de levadura no vivo (debido a
la acción de las enzimas en el extracto) (Cornish-Bowden, 1997). Este experimento no solo revolucionó la bioquímica, sino que
también permitió a los científicos posteriores analizar esta vía en un entorno
de laboratorio más controlado. En una serie de experimentos (1905-1911), los
científicos Arthur Harden y William Young descubrieron más piezas de
glucólisis. Descubrieron los efectos reguladores del ATP en el consumo de
glucosa durante la fermentación de alcohol. También arrojaron luz sobre el
papel de un compuesto como intermediario de la glucólisis: la fructosa 1,6-bisfosfato.
La elucidación de fructosa 1,6-bisfosfato se logró midiendo los niveles de CO2 cuando el jugo de levadura se incubó con glucosa. La producción de CO2 aumentó rápidamente y luego disminuyó. Harden y Young notaron que este proceso se reiniciaría si se añadiera un fosfato inorgánico (Pi) a la mezcla. Harden y Young dedujeron que este proceso producía ésteres de fosfato orgánicos, y otros experimentos les permitieron extraer fructosa 1,6-bisfosfato.
Figura 3.3. Arthur Harden (Mánchester, 12 de octubre de 1865 – Bourne End, 17 de junio de 1940) fue un bioquímico y profesor universitario inglés galardonado con el Premio Nobel de Química del año 1929.
Figura 3.4. William John
Young (26 de enero de 1878 - 14 de mayo de 1942) fue un bioquímico inglés.
Arthur Harden y William Young junto con Nick Sheppard determinaron, en un segundo experimento, que una fracción subcelular de alto peso molecular sensible al calor (las enzimas) y una fracción de citoplasma de bajo peso molecular insensible al calor (ADP, ATP y NAD+ y otros cofactores) se requieren juntos para que continúe la fermentación. Este experimento comenzó observando que el jugo de levadura dializado (purificado) no podía fermentar o incluso crear un fosfato de azúcar. Esta mezcla fue rescatada con la adición de extracto de levadura no dializado que había sido hervido. Hervir el extracto de levadura deja todas las proteínas inactivas (ya que las desnaturaliza). La capacidad del extracto hervido más el jugo dializado para completar la fermentación sugiere que los cofactores eran de carácter no proteico.
Figura 3.5. Otto Fritz
Meyerhof (12 de abril de 1884 - 6 de octubre de 1951) fue un médico y
bioquímico alemán que ganó el Premio Nobel de Fisiología y Medicina en 1922.
En la década de 1920, Otto Meyerhof pudo
vincular algunas de las muchas piezas individuales de glucólisis descubiertas
por Buchner, Harden y Young. Meyerhof y su equipo pudieron extraer diferentes
enzimas glucolíticas del tejido muscular y combinarlas para crear
artificialmente la vía del glucógeno al ácido láctico (Kresge, Simoni, & Hill, 2005). 
En un artículo, Meyerhof y el científico Renate Junowicz-Kockolaty investigaron la reacción que divide la fructosa 1,6-difosfato en los dos trifosfatos. Trabajos previos propusieron que la división se produjo a través de 1,3-difosfogluceraldehído más una enzima oxidante y acogedora masa. Meyerhoff y Junowicz encontraron que la constante de equilibrio para la reacción de isomerasa y aldosas no se vio afectada por fosfatos inorgánicos o cualquier otra enzima acogedora o oxidante. Luego eliminaron el difosfogluceraldehído como posible intermediario en la glucólisis (Kresge et al., 2005).
Figura 3.6. Gustav Georg
Embden (10 de noviembre 1874 en Hamburgo; 25 de julio 1933 en Nassau) fue un
bioquímico alemán, principalmente conocido por haber descrito junto a Otto
Meyerhof el ciclo que lleva sus nombres, una vía para el catabolismo de los
carbohidratos conocido como «vía Meyervhof-Embden» y que por ser la más común,
se utiliza en la práctica como sinónimo de glicólisis.
Con todas estas piezas disponibles en la
década de 1930, Gustav Embden propuso un esquema detallado y paso a paso de esa
vía que ahora conocemos como glucólisis (Barnett, 2003).  Las mayores dificultades
para determinar las complejidades de la vía se debieron a la muy corta vida
útil y a las bajas concentraciones en el estado estacionario de los intermedios
de las reacciones glucolíticas rápidas. En la década de 1940, Meyerhof, Embden
y muchos otros bioquímicos finalmente habían completado el rompecabezas de la
glucólisis. La comprensión de la vía aislada se ha ampliado en las décadas
posteriores, para incluir más detalles sobre su regulación e integración con
otras vías metabólicas.
 4. Moléculas involucradas en la glucólisis 
|| Regresar al Índice || 
Las sustancias de inicio para la
glucólisis son los carbohidratos, por lo que iniciaremos la discusión en ese
punto.
 
4.1 Carbohidratos
Seamos sinceros, los carbohidratos por lo
general son vistos como algo ciertamente aburrido cuando estudias por primeras
vez bioquímica o biología celular. Esto no es solo la impresión de un mero
estudiante, por años el estudio de los carbohidratos fue el tema menos
emocionante de la bioquímica. Aunque los carbohidratos eran reconocidos como
elementos importantes a nivel estructural, se los consideraba elementos
periféricos de importancia secundaria al interior de la célula, “aun cuando el
esqueleto de los ácidos nucleicos es fundamentalmente un carbohidrato”. En
esencia eran considerados o vigas de unión, o combustible instantáneo para una
pieza magnifica de alguna estructura bioquímica.
Hemos aprendido que, las células se
encuentran recubiertas por una densa cota de carbohidratos complejos. Las
proteínas segregadas poseen un decorado extenso de carbohidratos que afectan y
de hecho son esenciales para llevar a cabo sus funciones. La matriz
extracelular de los eucariotas multicelulares es rica en carbohidratos
disueltos, segregados por los tejidos o por los sistemas de transporte de
sustancias, siendo vitales para la comunicación entre las células o para la
supervivencia de las mismas. Los carbohidratos son cruciales para el desarrollo
de las funciones de todos los seres vivos, no solo como fuentes de energía,
sino como moléculas estructurales, e incluso como elementos estructurales que
contienen información biológica.
Siendo que la función de una proteína
depende de su forma, y que los carbohidratos al estar en la parte externa de la
proteína alteran su forma, sirven como marcadores para la identificación
molecular. De hecho, los tipos de sangre, como el sistema AB0 dependen del
reconocimiento de algunos carbohidratos específicos en las proteínas de
membrana. Muchos patógenos utilizan el reconocimiento de algunos carbohidratos
como puertas de entrada a las células. Por lo tanto, más que meros componentes
estructurales secundarios, los carbohidratos proveen detalles vitales y una
ampliación de la versatilidad morfológica a las proteínas. La cualidad más
importante que le permite a estas moléculas tener una variedad de funciones es
la variedad estructural que pueden poseer. Este impacto en la función
proteínica implica un almacenamiento de información, el cual puede variar con
el tiempo, lo cual ha abierto el campo de estudio llamado glicómica. ¿Cómo se
almacena la información hereditaria de un carbohidrato? ¿Es genética o
epigenética?, estas y otras preguntas serán asumidas en el presente capítulo.
 
4.2 Clasificación de los
carbohidratos
Los carbohidratos se definen primariamente
como polihidroxi aldehídos o cetonas; o sustancias que al hidrolizarse forman
polihidroxi aldehídos o cetonas. Un detalle importante, es que muchos
carbohidratos se presentan generalmente en forma cíclica como hemiacetales.
Generalmente los carbohidratos se clasifican por su posible hidrolización a
formas más simples. En ese orden de ideas serán monosacáridos aquellos que no
pueden ser hidrolizados, serán disacáridos aquellos que al hidrolizarse generan
dos monosacáridos y así sucesivamente. Oligosacáridos son aquellas cadenas de
entre 10-20 monosacáridos y polisacáridos, aquellos que contienen una larga
cadena de monosacáridos. Sín embargo, nos enfocaremos específicamente en
algunos aspectos de la química de los monosacáridos, dado que, muchos azucares
de importancia estructural y biológica son monosacáridos, tales como la ribosa
o la desoxirribosa.
 
4.3 La glucosa
Uno de los detalles de la glucosa es que puede ser representada de diversas fórmulas estructurales, cada una con un diferente grado de especificidad, la cual da cuenta de diferencias en sus propiedades bioquímicas.
Figura 4.1. Fórmulas estructurales de la glucosa.
La fórmula estructural de cadena lineal (Figura 4.1A)
puede explicar algunas de las propiedades de la glucosa, pero una estructura
cíclica (un hemiacetal formado por reacción entre el grupo aldehído y un grupo hidroxilo)
es termodinámicamente favorecida y explica otros Propiedades. La estructura
cíclica se dibuja normalmente como se muestra en la (Figura 4.1B),
sin embargo, dado que los hidrógenos generalmente pueden omitirse como los
carbonos, la forma (Figura 4.1C) es
más práctica en muchas situaciones donde no hay tiempo para escribir detalles
innecesarios. La proyección Haworth, en la que la molécula se ve desde el lado
y por encima del plano del anillo; Los enlaces más cercanos al espectador son
negrita y espesada, y los grupos hidroxilo están por encima o por debajo del
plano del anillo. El anillo de seis miembros que contiene un átomo de oxígeno
está en realidad en forma de silla (Figura 4.1D).
Isomerismo: La glucosa, con cuatro átomos de carbono asimétricos, puede
formar 16 isómeros. Los tipos más importantes de isomerismo encontrados con la
glucosa son los siguientes:
Isomerismo D/L: La designación de un isómero de azúcar como forma D o de su imagen especular como la forma L se determina por su relación espacial con el compuesto parental de los carbohidratos, el azúcar glicerosa (gliceraldehído) de tres carbonos. Las formas L y D de este azúcar, y de la glucosa, se muestran en la imagen siguiente. La orientación de los grupos -H y -OH alrededor del átomo de carbono adyacente al carbono del alcohol primario terminal (carbono 5 en la glucosa) determina si el azúcar pertenece a la serie D o L. Cuando el grupo -OH de este carbono está a la derecha (como se ve en la Figura 4.2E2 y Figura 4.2F2), el azúcar es el isómero D; Cuando está a la izquierda, es el L isómero (Figuras Figura 4.2E1 y Figura 4.2F1).
Figura 4.2. Isómeros D/L.
Figura 4.3. Estructuras con base en el
pirano y en el furano.
La mayoría de los monosacáridos que
ocurren en los mamíferos son D-azúcares, y las enzimas responsables de su
metabolismo son específicas para esta configuración. La presencia de átomos de
carbono asimétricos también confiere actividad óptica al compuesto. Cuando un
haz de luz polarizada plana pasa a través de una solución de un isómero óptico,
gira a la derecha, dextrógiro (+), o a la izquierda, levógiro (-). La dirección
de rotación de la luz polarizada es independiente de la estereoquímica del
azúcar, por lo que se puede designar D(-), D(+), L(-) o L(+). Por ejemplo, la
forma natural de fructosa es el isómero d (-). En la solución, la glucosa es D,
y las soluciones de la glucosa se conocen a veces como dextrosa.
Piranosa/furanosa: Las estructuras en anillo de los monosacáridos son similares a
las estructuras en anillo del pirano (un anillo de seis miembros) o furano (un
anillo de cinco miembros). Para la glucosa en solución, más del 99% está en
forma de piranosa (Figura 4.3).
Alfa/Beta: La estructura de anillo de una aldosa es un hemiacetal, puesto que
se forma por combinación de un aldehído y un grupo alcohol. De forma similar,
la estructura de anillo de una cetosa es un hemicetal. La glucosa cristalina es
α-D-glucopiranosa. La estructura cíclica se retiene en disolución, pero se
produce isomerismo alrededor de la posición 1, el carbonilo o átomo de carbono
anomérico, para dar una mezcla de α-glucopiranosa (38%) y β-glucopiranosa
(62%). Menos del 0,3% está representado por anómeros α y β de glucofuranosa.
 
4.4 Piruvato/Ácido pirúvico
El ácido pirúvico (CH3COCOOH)
es el más simple de los alfa-cetoácidos, con un ácido carboxílico y un grupo
funcional cetona. El piruvato, la base conjugada, CH3COCOO-, es un intermedio
clave en varias vías metabólicas. El ácido pirúvico puede ser hecho de glucosa
a través de glucólisis, convertido de nuevo a carbohidratos (tales como
glucosa) a través de la gluconeogénesis, o ácidos grasos a través de una
reacción con acetil-CoA. También se puede utilizar para construir el aminoácido
alanina y puede convertirse en etanol o ácido láctico a través de la
fermentación. El ácido pirúvico suministra energía a las células a través del
ciclo del ácido cítrico (también conocido como ciclo de Krebs) cuando el
oxígeno está presente (respiración aeróbica), y fermenta alternativamente para
producir lactato cuando falta oxígeno (fermentación).
Dos
nombres de un equilibrio: El ácido pirúvico es
un ácido orgánico débil que existe en un estado de equilibrio entre la forma
protonada (CH3 COCOOH) y la forma desprotonada (CH3COCOO-). La forma protonada recibe el nombre de ácido pirúvico y la
desprotonada de piruvato. 
Figura 4.4. Equilibrio
ácido-base conjugado.
Sin embargo, en el estudio básico del
metabolismo ambas formas pueden ser empleadas intercambiablemente, así como sus
nombres.
Importancia: El piruvato es un compuesto químico importante en la bioquímica. Es
la salida del metabolismo de la glucosa conocida como glicólisis. Una molécula
de glucosa se divide en dos moléculas de piruvato, que luego se utilizan para
proporcionar más energía, de una de dos maneras. El piruvato se convierte en
acetil-coenzima A, que es el principal insumo para una serie de reacciones
conocidas como ciclo de Krebs (también conocido como ciclo de ácido cítrico o
ciclo de ácido tricarboxílico). El piruvato también se convierte en
oxaloacetato por una reacción anaplerótica, que repone los intermedios del
ciclo de Krebs; También, el oxaloacetato se utiliza para la gluconeogénesis.
Estas reacciones reciben el nombre de Hans Adolf Krebs, bioquímico galardonado
con el Premio Nobel de Fisiología de 1953, junto con Fritz Lipmann, por la
investigación de los procesos metabólicos. El ciclo también se conoce como
ciclo de ácido cítrico o ciclo de ácido tricarboxílico, porque el ácido cítrico
es uno de los compuestos intermedios formados durante las reacciones.
Si no hay suficiente oxígeno, el ácido se
descompone anaerobiamente, creando lactato en animales y etanol en plantas y
microorganismos. El piruvato de la glicólisis se convierte por fermentación en
lactato usando la enzima lactato deshidrogenasa y la coenzima NADH en la
fermentación de lactato, o al acetaldehído (con la enzima piruvato
descarboxilasa) y luego al etanol en fermentación alcohólica. El piruvato es
una intersección clave en la red de vías metabólicas. El piruvato puede
convertirse en hidratos de carbono a través de la gluconeogénesis, a ácidos grasos
o energía a través de acetil-CoA, al aminoácido alanina y al etanol. Por lo
tanto, une varios procesos metabólicos clave.
 
4.5 Glucosa-6-fosfato/G6P
(A veces llamado el éster de Robison) es
un azúcar de glucosa fosforilado sobre el carbono 6. Este es un compuesto que
es muy común en las células ya que la gran mayoría de la glucosa que entra en
una célula se fosforilará de esta manera.
Debido a su posición prominente en la
química celular, la glucosa 6-fosfato tiene muchos destinos posibles dentro de
la célula. Se encuentra en el inicio de dos grandes vías metabólicas: la
glucólisis y la vía de la pentosa fosfato. Además de estas dos vías
metabólicas, la glucosa 6-fosfato también puede convertirse en glucógeno o
almidón para el almacenamiento. Este almacenamiento está en el hígado y los
músculos en forma de glucógeno para la mayoría de los animales multicelulares,
y en el almidón intracelular o gránulos de glucógeno para la mayoría de los
otros organismos.
Figura 4.5. La
glucosa-6-fosfato reemplaza un protón del grupo hidróxido por un grupo fosfato,
creando un ion orgánico de dos cargas negativas.
Si los niveles de glucosa en la sangre son
altos, el cuerpo necesita una forma de almacenar el exceso de glucosa. Después
de convertirse a G6P, la molécula puede convertirse en glucosa-1-fosfato por
fosfoglucomutasa. El glucosa-1-fosfato puede combinarse con uridina trifosfato
(UTP) para formar UDP-glucosa, impulsado por la hidrólisis de UTP, liberando
fosfato. Ahora, la UDP-glucosa activada puede agregar a una molécula de
glucógeno en crecimiento con la ayuda de glucógeno sintasa. Este es un
mecanismo de almacenamiento muy eficiente para la glucosa ya que cuesta al
organismo sólo 1 ATP almacenar la molécula de glucosa 1 y virtualmente ninguna
energía para eliminarla del almacenamiento. Es importante señalar que la
glucosa-6-fosfato es un activador alostérico de glucógeno sintasa, lo que tiene
sentido porque cuando el nivel de glucosa es alto el cuerpo debe almacenar el
exceso de glucosa como glucógeno. Por otra parte, la glucógeno sintasa es
inhibida cuando es fosforilada por la proteína quinasa durante tiempos de alto
estrés o bajos niveles de glucosa en la sangre, a través de la inducción
hormonal por glucagón o adrenalina.
Cuando el cuerpo necesita glucosa para
obtener energía, la glucógeno fosforilasa, con la ayuda de un ortofosfato,
puede separar una molécula de la cadena del glucógeno. La molécula escindida
está en forma de glucosa-1-fosfato, que puede convertirse en G6P por
fosfoglucomutasa. A continuación, el grupo fosforilo en G6P puede escindirse
por glucosa-6-fosfatasa de modo que se puede formar una glucosa libre. Esta
glucosa libre puede pasar a través de las membranas y puede entrar en el
torrente sanguíneo para viajar a otros lugares del cuerpo.
 
4.6 Fructosa-6-fosfato
La fructosa 6-fosfato (a veces llamada
éster Neuberg) es un azúcar fructosa fosforilado sobre carbono 6 (es decir, es
un fructosulfato). La forma β-D de este compuesto es muy común en las células.
La gran mayoría de la glucosa y la fructosa que entran en una célula se
convierten a esto en algún momento. El nombre de ester de Neuberg proviene del
bioquímico alemán Carl Neuberg.
Figura 4.6. Fructosa-6-fosfato.
También conocido como éster Harden-Young,
es un azúcar de fructosa fosforilado sobre los carbonos 1 y 6. La forma β-D de
este compuesto es muy común en las células. La gran mayoría de la glucosa y la
fructosa que entran en una célula se convierten en fructosa 1,6-bisfosfato en
algún momento.
Figura 4.7. Fructosa-1,6-bifosfato.
 
4.8 Otros
El fosfato de dihidroxiacetona (DHF,
también fosfato de glicerona en textos antiguos) es un compuesto bioquímico
implicado en muchas vías metabólicas, incluyendo el ciclo de Calvin en plantas
y glicólisis. El gliceraldehído-3-fosfato, también conocido como fosfato de
triosa o 3-fosfogliceraldehido y abreviado como G3F, GA3F, GADF, GAF, TF, GALF
o FGAL, es un compuesto químico que se presenta como un intermediario en varias
vías metabólicas centrales de todos los organismos. Es un éster de fosfato del
azúcar gliceraldehído de 3 carbonos y tiene la fórmula química C3H7O6P.
Figura 4.8. Fosfato de dihidroxiacetona DHF.
Figura 4.9. Gliceraldehído-3-fosfato
G3F.
El ácido 1,3-bisfosfoglicérico (1,3-bisfosfoglicerato o
1,3BFG) es una molécula orgánica de 3 carbonos presente en la mayoría de los
organismos vivos, si no en todos. 
Primariamente existe como un intermedio metabólico tanto en
la glicólisis durante la respiración como en el ciclo de Calvin durante la
fotosíntesis. 1,3BFG es una etapa de transición entre el glicerato 3-fosfato y
el gliceraldehído 3-fosfato durante la fijación / reducción de CO2. 1,3BFG es
también un precursor del 2,3-bisfosfoglicerato que a su vez es un intermedio de
reacción en la vía glicolítica. 
El ácido 3-fosfoglicérico (3FG), o glicerato 3-fosfato (GF),
es una molécula bioquímicamente significativa de 3 carbonos que es un
intermedio metabólico tanto en la glicólisis como en el ciclo de Calvin. Este
producto químico se denomina a menudo FGA cuando se refiere al ciclo de Calvin.
En el ciclo de Calvin, el 3-fosfoglicerato es el producto de la separación
espontánea de un intermedio inestable de 6 carbonos formado por fijación de
CO2. De este modo, se producen dos moléculas de 3-fosfoglicerato para cada
molécula de CO2 fijada.
Figura 4.10. 3-fosfoglicerato 3FG.
Figura 4.11. 1,3-bifosfoglicerato
1,3-BFG.
El ácido 2-fosfoglicérico (2FG), o 2-fosfoglicerato, es un
ácido glicérico que sirve como sustrato en la novena etapa de glucólisis. Se
cataliza por enolasa en fosfoenolpiruvato (FEP), la penúltima etapa en la
conversión de glucosa en piruvato. El ácido fosfoenolpiruvico (FEP), o
fosfoenolpiruvato (2-fosfoenolpiruvato) como anión, es un compuesto químico
importante en la bioquímica. Tiene el enlace de fosfato de mayor energía
encontrado (-61.9 kJ / mol) en organismos vivos, y está involucrado en la
glucólisis y la gluconeogénesis. En las plantas, también participa en la
biosíntesis de diversos compuestos aromáticos, y en la fijación de carbono; En
bacterias, también se utiliza como fuente de energía para el sistema de
fosfotransferasa.
Figura 4.12. 2-fosfoglicerato
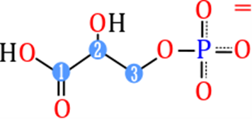
Figura 4.13. 2-fosfoenolpiruvato
 5. Etapa preparatoria de la glucólisis 
|| Regresar al Índice || 
Ahora comenzamos nuestra consideración de
la vía glucolítica. Esta vía es común a prácticamente todas las células, tanto
procariotas como eucariotas. En las células eucariotas, la glucólisis tiene
lugar en el citoplasma. Se puede pensar que esta vía comprende dos etapas. 
La etapa 1 es la fase de captura y
preparación. Los primeros cinco pasos se consideran la fase preparatoria (o de
inversión), ya que consumen energía para convertir la glucosa en dos fosfatos
de azúcar de tres carbonos. No se genera ATP en esta etapa. 
En la etapa 1, la glucosa se convierte en
1,6-bisfosfato de fructosa en tres pasos: una fosforilación, una isomerización
y una segunda reacción de fosforilación. La estrategia de estos pasos iniciales
en la glucólisis es atrapar la glucosa en la célula y formar un compuesto que
se puede dividir fácilmente en unidades fosforiladas de tres carbonos. La etapa
1 se completa con la escisión del fructosa 1,6-bisfosfato en dos fragmentos de
tres carbonos. Estas unidades de tres carbonos resultantes son fácilmente
interconvertibles. En la etapa 2, el ATP se cosecha cuando los fragmentos de
tres carbonos se oxidan a piruvato.
 
5.1 Paso cero: Ingresar a la
célula
La molécula de glucosa es un azúcar de tipo hemiacetal, es decir es un anillo cíclico de 6 carbonos, aunque más exactamente el anillo lo forman 5 carbonos y un oxígeno, mientras que el sexto carbono queda como una antenita fuera del anillo. La energía de la glucosa se encuentra almacenada en sus enlaces carbono-carbono mientras que los oxígenos de sus grupos hidroxilo le permiten permanecer disuelta e el agua, en la sangre o en la matriz extracelular.
Figura 5.1. La glucosa
"verde" es una molécula muy grande y no atraviesa la membrana con
facilidad, por lo que requiere de proteínas que realicen un transporte
facilitado para su ingreso a la célula.
En cualquier caso, el primer problema que
encuentra la célula es hacer que ingrese, la molécula de glucosa es demasiado
grande para que atraviese la membrana por transporte pasivo, o porque se
requiere de proteínas que translocan la glucosa del medio externo al medio
interno. E los humanos esta función es llevada por GLUT-4, pero cada célula
puede tener su propio o propios transportadores diferentes. Una vez en el
citoplasma celular, la glucosa puede ser anabilizada a polisacáridos o
catabolizada para obtener energía.
 
5.2 1er paso activación:
Hexoquinasa
También conocido como primera
fosforilación, esta reacción es catalizada por la enzima exoquinasa con ayuda
de un ion de magnesio.  En términos de la
analogía de la colina, aunque el nivel energético de la glucosa es alto, no es
lo suficientemente alto para desencadenar la caída que requerimos, la
fosforilación es una reacción de ingreso de energía para llevar a la glucosa a
un punto energético mayor.
(Eq.  5.1)
La hexoquinasa es una enzima específica pero no tanto, puede
catalizar la misma reacción con otros carbohidratos de 6 carbonos empleando
también magnesio y ATP. El punto de esta reacción inicial recae en dos
aspectos, el primero es incrementar la energía de la molécula lo cual acelera
su reactividad posterior, y la segunda es ahorrar espacio. Los transportadores
de glucosa dependen de las concentraciones interna y externa, si se almacena
mucha glucosa, el flujo tiende a detenerse, pero al convertir la glucosa en
glucosa-6-fosfato la célula puede seguir ingresando más glucosa desde el
exterior.
 
5.3 2do paso cambio de forma:
Glucosa-6-P isomerasa
El segundo paso de la glucólisis consiste
en una isomerización, es decir la transformación de la molécula de
glucosa-6-fosfato en otra molécula cuya característica es la simetría potencial
para el siguiente paso. 
(Eq.  5.2)
El paso consiste es una isomerización, es
decir transformar la molécula estructuralmente conservando la misma cantidad de
átomos, de esta manera se obtiene una molécula de fructosa-6-fosfato. Más aun
en términos de la analogía de la colina, a pesar de que la conversión no es
espontanea de por sí, cuando esta acoplada a la primera reacción, esta se hace
espontanea, lo que la convierte en una reacción de “cuesta abajo”.
 
5.4 3er paso segunda
activación: Fosfofructoquinasa
El tercer paso de la glucólisis se caracteriza
por realizar una reacción de fosforilación en la “colita” formada por la
fosfohexanosa isomerasa, en cierto sentido es la misma reacción que ocurrió en
el paso 1, con un sacrificio de energía en forma de un grupo fosfato. La
proteína involucrada en este paso se denomina Fosfofructoquinasa la cual sufre
de tremendas restricciones y controles por parte de la célula. Antes de este
punto la glucosa activada e isomerizada puede ingresar a otras rutas
metabólicas catabólicas o anabólicas, pero después de esta reacción solo queda
una ruta cuesta abajo y es la lisis de la molécula de 6 carbonos.
Otro aspecto que hace a esta reacción un punto clave es que
su energía libre es muy negativa y la hace altamente irreversible, esto implica
que una vez liberada, la enzima hace que la reacción produzca una gran cantidad
de producto consumiendo toda la fructosa-6-fopsfato disponible en ese momento.
En términos de la analogía de la colina esta reacción es una inversión de
energía hacia un punto extremadamente inestable, esta inestabilidad hará que la
molécula tienda a la ruptura en próximas reacciones.
(Eq.  5.3)
 
5.5 4to paso corte: Aldolasa
Esta reacción se caracteriza por un
rompimiento mediado por la enzima aldolasa. La energía libre estándar de esta
reacción es muy positiva, lo que hace que en condiciones normales nunca se dé
hacia el rompimiento. Sin embargo, en las condiciones celulares planteadas por
las reacciones previas hay dos fenómenos conjugados que permiten su realización
como una reacción reversible que tiende a generar el rompimiento y no la
síntesis.
(Eq.  5.4)
La razón por la cual en los dos primeros
pasos se adiciona tanta energía es para hacer que la molécula se haga muy
inestable, y del mismo modo, al haber dos reacciones irreversibles que acumulan
grandes cantidades de fructosa-6-fosfato las condiciones del equilibrio fuerzan
la reacción hacia los productos del rompimiento. En segunda instancia las dos
moléculas de 3 carbonos producidas son rápidamente empleadas en reacciones
subsecuentes, por lo que nunca se plantea realmente un equilibrio químico. De
esta manera el producto del acoplamiento de las tres reacciones previas
permiten que la reacción siga siendo espontanea hacia los productos.
 
5.6 5to paso duplicador:
Triosa fosfato isomerasa
Las reacciones de obtención de energía de la glucosa se basan en un mismo sustrato, es decir, cuando la molécula de 6C se parte en 2 de 3C, las reacciones subsecuentes son las mismas, por esta razón en algunos esquemas de la glucólisis se ve un punto de bifurcación.
(Eq.  5.5)
Sin embargo, las dos moléculas obtenidas en el paso 4 no son
las mismas, por lo que se requiere un paso intermedio de isomerización, es
decir de convertir ambas moléculas en la misma especie química. Las dos
moléculas son dihidroxiacetona y gliceraldehído-3-fosfato, de ambas solo la
última puede seguir las demás reacciones de la glucólisis, mientras que la
primera debe isomerizarse a gliceraldehído-3-fosfato para seguir la ruta
metabólica. La reacción es catalizada por la enzima triosa fosfato isomerasa.
 6. Etapa de recompensa 
|| Regresar al Índice || 
La segunda mitad de la glucólisis se
conoce como la fase de recompensa, que se caracteriza por una ganancia neta de
las moléculas ricas en energía ATP y NADH. Dado que la glucosa conduce a dos
azúcares triosa en la fase preparatoria, cada reacción en la fase de recompensa
se produce dos veces por molécula de glucosa. Esto produce 2 moléculas de NADH
y 4 moléculas de ATP, dando lugar a una ganancia neta de 2 moléculas de NADH y
2 moléculas de ATP de la vía glicolítica por glucosa.
 
6.1 6to paso obteniendo NADH:
Gliceraldehído-3-fosfato deshidrogenasa
Es la primera reacción de obtención de energía mediante la reducción de NAD a NADH, con una subsecuente perdida de energía por parte de la molécula de 3 carbonos. De manera simultánea se adiciona un grupo fosfato inorgánico a la molécula.
(Eq.  6.1)
Este segundo paso es importante ya que la
fijación de energía se hace de manera predominante en forma de ATP, lo que
implica que las transferencias de energía se realizan de manera concreta por
trasferencias de grupos fosfato. Se lo puede visualizar de este modo, un
fosfato inorgánico de bajísima energía se inserta en la molécula para que esta
le transfiera su energía y poder de esta manera extraerla en pasos
subsecuentes. Los productos de la reacción son por lo tanto 1,
3-bifosfoglicerato, NADH y un protón libre que incrementa la acidez.
 
6.3   6.4 7mo paso obteniendo ATP:
Fosfoglicerato quinasa
Nos encontramos ante una reacción de trasferencia de grupo, en la cual se traslada el grupo fosfato que se adicionó en el paso anterior a una molécula de ADP con la consecuente transferencia de energía, a esta reacción se la denomina fosforilación a nivel deustrato “ya que otras fosorilaciones con síntesis de ATP emplean son productos secundarios, especialmente flujos de protones a través de membranas”.
(Eq.  6.2)
La reacción es tremendamente espontánea y
jalona la reacción anterior, consumiendo rápidamente el (1,
3-Bifosfoglicerato).
 
6.6 8vo paso: Fosfoglicerato
mutasa
Nos encontramos ante otra reacción de isomerización, el fosfato pasa de estar en una punta (3-fosfoglicerato) a estar en el carbono intermedio.
(Eq.  6.3)
El cambio en la energía libre es cercano a
cero, por lo que las condiciones de equilibrio dependen exclusivamente de las
concentraciones de producto y reactivo, especialmente de que tan rápido es
consumido el producto de esta reacción llamado 2-fosfoglicerato.
 
6.8 9no paso: Enolasa
Nos encontramos ante otro paso de
isomerización, en el cual se pierde una molécula de agua, la molécula
resultante se denomina fosfofenolpiruvato.
(Eq.  6.4)
10mo paso: Piruvato quinasa
La ultima reacción de transferencia de grupo, la cual es extremadamente espontánea, jalonando las dos reacciones anteriores. Se produce acido pirúvico y una molécula de ATP.
(Eq.  6.5)
 7. Cálculos energéticos de la glucólisis 
|| Regresar al Índice || 
En términos generales, la glucolisis puede
ser separada en dos fases, la primera es la fase de absorción de energía, y la
segunda la fase de  obtención de energía
(YouTube). Sin importar la fase, la
síntesis de energía se logra mediante trasferencias de grupos fosfato, dos que
son donados por la célula desde dos ATP y otros dos nuevos grupos fosfato que
se sintetizan de fuentes inorgánicas en la reacción 6 (YouTube).
La primer fase de absorción o pérdida de
energía es un solo tronco, que va de la reacción 1 hasta la reacción 4, y en
resumen se trata de la trasferencia de dos grupos fosfato de alta energía a la
glucosa, los cuales la vuelven inestable, lo cual a su vez termina por
romperla.
Se obtienen dos moléculas de 3C y una de ellas se isomeriza de modo tal que el punto de partida para las siguientes reacciones que ocurren por duplicado se den en base al mismo sustrato. Una vez termina la isomerización del sustrato comienzan las reacciones de obtención de energía por duplicado. De este modo se obtienen como rendimiento bruto de la glucólisis 4 ATP y 2 NADH, sin embargo debido a que se invirtieron 2 ATP durante las fases de absorción de energía el rendimiento neto se reduce a 2 ATP y 2 NADH.
Figura 7.1. Estructura de la glucólisis.
Más aun, el producto de 3 carbonos de la
glucólisis llamado piruvato debe ser empleado o expulsado de alguna forma, ya
que si se llega a acumular haría que toda la ruta metabólica experimente una
inversión hacia los reactivos debido al equilibrio químico “trancón en la ruta
metabólica en términos coloquiales”. De este modo rutas subsecuentes como las
fermentaciones o la respiración celular aeróbica lidian con el piruvato, ya sea
su conversión a especies químicas menos toxicas y fácilmente expulsables al
medio que rodea a la célula, o mediante u oxidación total a dióxido de carbono
y agua.
 
7.1 Cambios en la energía
libre
El cambio en la energía libre,
(Eq.  7.1)
donde Q
Tabla 7.1. Concentración
de los diferentes compuestos de la glucólisis.
| 
   Compuesto  | 
  
   Concentración (mM)  | 
 
| 
   Glucosa  | 
  
   5.000  | 
 
| 
   Glucosa-6-fosfato  | 
  
   0.083  | 
 
| 
   Fructosa-6-fosfato  | 
  
   0.014  | 
 
| 
   Fructosa-1,6-bisfosfato  | 
  
   0.031  | 
 
| 
   Dihidroxiacetonafosfato   | 
  
   0.140  | 
 
| 
   Gliceraldehido-3-fosfato  | 
  
   0.019  | 
 
| 
   1,3-Bifosfoglicerato  | 
  
   0.001  | 
 
| 
   2,3-Bifosfoglicerato  | 
  
   4.000  | 
 
| 
   3-Fosfoglicerati  | 
  
   0.120  | 
 
| 
   2-Fosfoglicerato  | 
  
   0.030  | 
 
| 
   Fosfofenolpiruvato  | 
  
   0.023  | 
 
| 
   Piruvato  | 
  
   0.051  | 
 
| 
   ATP  | 
  
   1.850  | 
 
| 
   ADP  | 
  
   0.140  | 
 
| 
   Pi  | 
  
   1.000  | 
 
Usando las concentraciones medidas de cada
paso y los cambios de energía libre estándar, se puede calcular el cambio de
energía libre real. (Descuidar esto es muy común: el delta G de la hidrólisis
de ATP en las células no es el cambio de energía libre estándar de la
hidrólisis de ATP citado en los libros de texto).
Tabla 7.2. Cambio en la
energía libre para cada paso de la glucólisis.
| 
   Reacción  | 
  
   ΔG°' (kJ/mol)  | 
  
   ΔG (kJ/mol)  | 
 
| 
   1  | 
  
   -16.70  | 
  
   -34.00  | 
 
| 
   2  | 
  
   +01.67  | 
  
   -02.90  | 
 
| 
   3  | 
  
   -14.20  | 
  
   -19.00  | 
 
| 
   4  | 
  
   +23.90  | 
  
   -00.23  | 
 
| 
   5  | 
  
   +07.56  | 
  
   +02.40  | 
 
| 
   6  | 
  
   +06.30  | 
  
   -01.29  | 
 
| 
   7  | 
  
   -18.90  | 
  
   +00.09  | 
 
| 
   8  | 
  
   +04.40  | 
  
   +00.83  | 
 
| 
   9  | 
  
   +01.80  | 
  
   +01.10  | 
 
| 
   10  | 
  
   -31.70  | 
  
   -23.00  | 
 
Al medir las concentraciones fisiológicas
de metabolitos en un eritrocito, parece que aproximadamente siete de los pasos
en la glucólisis están en equilibrio para ese tipo de células. Tres de los
pasos, los que tienen grandes cambios negativos de energía libre, no están en
equilibrio y se conocen como irreversibles; tales pasos a menudo están sujetos
a regulación.
El paso 5 es una reacción secundaria que
puede disminuir o aumentar la concentración del gliceraldehído-3-fosfato
intermedio. Ese compuesto se convierte en dihidroxiacetona fosfato por la
enzima triosa fosfato isomerasa, que es una enzima catalíticamente perfecta; su
velocidad es tan rápida que se puede suponer que la reacción está en
equilibrio. El hecho de que ΔG no sea cero indica que las concentraciones
reales en el eritrocito no se conocen con precisión.
 8. Regulación de la glucólisis 
|| Regresar al Índice || 
Las cuatro enzimas reguladoras son la
hexoquinasa (o glucoquinasa en el hígado), la fosfofructoquinasa y la piruvato
quinasa. El flujo a través de la vía glucolítica se ajusta en respuesta a las
condiciones tanto dentro como fuera de la célula. Los factores internos que
regulan la glucólisis, lo hacen principalmente para proporcionar ATP en
cantidades adecuadas para las necesidades de la célula. Los factores externos
actúan principalmente sobre el hígado, el tejido adiposo y los músculos, lo que
puede eliminar grandes cantidades de glucosa de la sangre después de las
comidas (evitando así la hiperglucemia almacenando el exceso de glucosa como
grasa o glucógeno, según el tipo de tejido). El hígado también es capaz de
liberar glucosa en la sangre entre comidas, durante el ayuno y el ejercicio,
evitando así la hipoglucemia por medio de la glucogenólisis y la
gluconeogénesis. Estas últimas reacciones coinciden con la detención de la
glucólisis en el hígado.
En los animales, la regulación de los
niveles de glucosa en sangre por el páncreas junto con el hígado es una parte
vital de la homeostasis. Las células beta en los islotes pancreáticos son
sensibles a la concentración de glucosa en la sangre (Koeslag, Saunders, &
Terblanche, 2003). Un
aumento en la concentración de glucosa en la sangre hace que liberen insulina
en la sangre, lo que tiene un efecto particularmente en el hígado, pero también
en las células grasas y musculares, lo que hace que estos tejidos eliminen la
glucosa de la sangre. Cuando el azúcar en la sangre cae, las células beta
pancreáticas dejan de producir insulina, pero, en cambio, estimulan a las
células alfa pancreáticas vecinas para que liberen glucagón en la sangre (Koeslag et al., 2003). Esto, a su vez, hace que el hígado libere glucosa en la sangre al
descomponer el glucógeno almacenado y por medio de la gluconeogénesis. Si la
caída en el nivel de glucosa en sangre es particularmente rápida o severa,
otros sensores de glucosa provocan la liberación de epinefrina desde las
glándulas suprarrenales hacia la sangre. Esto tiene la misma acción que el
glucagón en el metabolismo de la glucosa, pero su efecto es más pronunciado (Koeslag et al., 2003). En el hígado, el glucagón y la epinefrina causan la fosforilación
de las enzimas limitantes de la glucólisis, síntesis de ácidos grasos, síntesis
de colesterol, gluconeogénesis y glucogenólisis. La insulina tiene el efecto contrario
en estas enzimas. La fosforilación y la desfosforilación de estas enzimas (en
última instancia, en respuesta al nivel de glucosa en la sangre) es la forma
dominante por la cual estas vías se controlan en el hígado, la grasa y las
células musculares. Por lo tanto, la fosforilación de la fosfofructoquinasa
inhibe la glucólisis, mientras que su desfosforilación a través de la acción de
la insulina estimula la glucólisis.
Además, la hexoquinasa y la glucoquinasa
actúan independientemente de los efectos hormonales como controles en los
puntos de entrada de glucosa en las células de diferentes tejidos. La
hexoquinasa responde al nivel de glucosa-6-fosfato (G6P) en la célula o, en el caso
de la glucoquinasa, al nivel de azúcar en sangre en la sangre para impartir
controles completamente intracelulares de la vía glucolítica en diferentes
tejidos.
Cuando la glucosa se ha convertido en G6F
por la hexoquinasa o glucoquinasa, se puede convertir en glucosa-1-fosfato
(G1F) para convertirla en glucógeno, o se convierte alternativamente por
glucólisis en piruvato, que ingresa a la mitocondria donde se convierte en
acetil-CoA y luego en citrato. El exceso de citrato se exporta desde la
mitocondria de regreso al citosol, donde la citrato liasa de ATP regenera
acetil-CoA y oxaloacetato (OAA). El acetil-CoA se usa para la síntesis de
ácidos grasos y la síntesis de colesterol, dos formas importantes de utilizar
el exceso de glucosa cuando su concentración es alta en la sangre. Las enzimas
limitantes de la velocidad que catalizan estas reacciones realizan estas
funciones cuando se han desfosforilado a través de la acción de la insulina en
las células del hígado. Entre comidas, durante el ayuno, el ejercicio o la
hipoglucemia, se liberan glucagón y epinefrina a la sangre. Esto hace que el
glucógeno del hígado se convierta nuevamente en G6F, y luego se convierte en
glucosa mediante la enzima específica del hígado glucosa 6-fosfatasa y se
libera en la sangre. El glucagón y la epinefrina también estimulan la
gluconeogénesis, que convierte los sustratos no carbohidratos en G6F, que se
une al G6F derivado del glucógeno, o lo sustituye cuando el depósito de
glucógeno del hígado se ha agotado. Esto es crítico para la función cerebral,
ya que el cerebro utiliza la glucosa como fuente de energía en la mayoría de
las condiciones. La fosforilación simultánea de, en particular, la
fosfofructoquinasa, pero también, en cierta medida, la piruvato quinasa, evita
que se produzca la glucólisis al mismo tiempo que la gluconeogénesis y la
glucogenólisis.
 
8.1 Hexoquinasa y glucoquinasa
Todas las células contienen la enzima
hexoquinasa, que cataliza la conversión de glucosa que ha ingresado a la célula
en glucosa-6-fosfato (G6F). Dado que la membrana celular es impermeable al G6F,
la hexoquinasa actúa esencialmente para transportar glucosa a las células de
las cuales ya no puede escapar. La hexoquinasa es inhibida por los altos niveles
de G6F en la célula. Por lo tanto, la tasa de entrada de glucosa en las células
depende en parte de la rapidez con que se pueda eliminar el G6F mediante
glucólisis y mediante síntesis de glucógeno (en las células que almacenan
glucógeno, a saber, el hígado y los músculos). 
La glucoquinasa, a diferencia de la
hexoquinasa, no es inhibida por G6F. Ocurre en las células del hígado y solo
fosforilará la glucosa que ingresa a la célula para formar glucosa-6-fosfato
(G6F), cuando el azúcar en la sangre es abundante. Siendo este el primer paso
en la vía glucolítica en el hígado, por lo tanto, imparte una capa adicional de
control de la vía glucolítica en este órgano. 
 
8.2 Fosfofructoquinasa
La fosfofructoquinasa es un punto de
control importante en la vía glucolítica, ya que es uno de los pasos
irreversibles y tiene efectores alostéricos clave, AMP y fructosa
2,6-bisfosfato (F-2,6-BF).
La fructosa 2,6-bisfosfato (F-2,6-BF) es
un activador muy potente de la fosfofructoquinasa (PFK-1) que se sintetiza
cuando F6F es fosforilada por una segunda fosfofructoquinasa (PFK2). En el
hígado, cuando el nivel de azúcar en la sangre es bajo y el glucagón eleva el
cAMP, PFK2 es fosforilada por la proteína quinasa A. La fosforilación inactiva
PFK2, y otro dominio en esta proteína se activa como la fructosa
bisfosfatasa-2, que convierte F-2,6-BF de nuevo en F-6-F. Tanto el glucagón
como la epinefrina causan altos niveles de AMPc en el hígado. El resultado de
niveles más bajos de fructosa-2,6-bisfosfato en el hígado es una disminución en
la actividad de la fosfofructoquinasa y un aumento en la actividad de la
fructosa 1,6-bisfosfatasa, por lo que se favorece la gluconeogénesis (en
esencia, "glucólisis en reversa"). Esto es consistente con el papel
del hígado en tales situaciones, ya que la respuesta del hígado a estas
hormonas es liberar glucosa a la sangre.
El ATP compite con el AMP por el sitio
efector alostérico en la enzima PFK. Las concentraciones de ATP en las células
son mucho más altas que las de AMP, típicamente 100 veces más altas (Beis & Newsholme, 1975), pero la concentración de ATP no cambia más de aproximadamente 10%
en condiciones fisiológicas, mientras que una caída de más del 10% en ATP
resulta en un aumento de 6 veces en AMP. Por lo tanto, la relevancia de ATP
como un efector alostérico es cuestionable. Un aumento en AMP es una
consecuencia de una disminución en la carga de energía en la célula.
El citrato inhibe la fosfofructoquinasa
cuando se prueba in vitro al mejorar el
efecto inhibidor del ATP. Sin embargo, es dudoso que este sea un efecto
significativo in vivo, porque el citrato
en el citosol se utiliza principalmente para la conversión a acetil-CoA para la
síntesis de ácidos grasos y colesterol.
 
8.3 Piruvato quinasa
La enzima piruvato quinasa cataliza el
último paso de la glucólisis, en el que se forman piruvato y ATP. La piruvato
quinasa cataliza la transferencia de un grupo fosfato del fosfoenolpiruvato
(FEP) al ADP, produciendo una molécula de piruvato y una molécula de ATP.
La piruvato quinasa hepática está regulada
indirectamente por la epinefrina y el glucagón, a través de la proteína quinasa
A. Esta proteína quinasa fosforila la piruvato quinasa hepática para
desactivarla. La piruvato quinasa muscular no se inhibe por la activación de la
proteína quinasa A por epinefrina A. El glucagón señala el ayuno (sin glucosa
disponible). Por lo tanto, la glucólisis se inhibe en el hígado pero no se ve
afectada en el músculo durante el ayuno. Un aumento en el azúcar en la sangre
conduce a la secreción de insulina, que activa la fosfoproteína fosfatasa I, lo
que conduce a la desfosforilación y activación de la piruvato quinasa. Estos
controles evitan que la piruvato quinasa sea activa al mismo tiempo que las
enzimas que catalizan la reacción inversa (piruvato carboxilasa y
fosfoenolpiruvato carboxiquinasa), evitando un ciclo inútil.
 
8.4   8.5 Controles posteriores
La glucólisis no puede ocurrir de manera
indefinida ya que puede generar toxicidad por dos rutas, acumulación de ácido
pirúvico y por disminución de NAD+. 
Si la glucólisis continuara indefinidamente,
todo el NAD+ se agotaría y la glucólisis se detendría. Para permitir
que continúe la glucólisis, los organismos deben ser capaces de oxidar NADH
nuevamente a NAD+.  Un  problema mas grave es generado por la
acumulación de píruvato, debido a que este no es convertido a las verdaderas
sustancias de finalización. Los efectos del envenenamiento por piruvato
dependen del tejido y del tipo de metabolismo posterior a la glucólisis.
La interrupción en el metabolismo del
piruvato, dependiendo de la ubicación o la gravedad de la mutación, causa
enfermedad leve a severa. Los tejidos con una alta demanda de ATP son los más
afectados, y el sistema nervioso es particularmente vulnerable debido a su
dependencia predominante del metabolismo de los carbohidratos para la
generación de ATP. El metabolismo aberrante del piruvato puede surgir de
mutaciones en cualquiera de los muchos genes que codifican las enzimas que lo
regulan. La mayoría de estas enzimas han sido bien estudiadas durante décadas,
sin embargo, los aspectos críticos adicionales del metabolismo del piruvato
apenas comienzan a entenderse. 
Piruvato
a acetilcoA: Este proceso da inicio al ciclo
de Krebs, su bloqueo causa neurodegeneración, acidosis láctica,
hiperpiruvicemia, retraso psicomotor / retraso del desarrollo (Gray, Tompkins, & Taylor, 2014).
Fermentación láctica: Tambien se da en los tejidos de los animales, su bloqueo genera mioglobinuria, baja resistencia / intolerancia al ejercicio (Gray et al., 2014).
Las fermentaciones consumen energía: Como veremos en las siguientes secciones veremos que las fermentaciones son metabolismos anabólicos en los que se sacrifica energía, este esfuerzo de la célula para deshacerse del piruvato indican que su presencia es problemática si se acumula.
 9. Fermentación láctica 
|| Regresar al Índice || 
La reacción final de la glucólisis
anaeróbica en los animales y muchos microorganismos es la reducción del piruvato a lactato (con la consecuente pérdida
energética). 
(Eq.  9.1)
Esta reacción también es exergónica (ΔG0´=-25,1 kJ/mol=-6,0 kcal/mol); como antes, necesitamos multiplicar este valor por 2 para
encontrar el rendimiento energético de cada molécula de glucosa que ingresa a
la vía. El lactato es un callejón sin salida en el metabolismo muscular, pero
puede reciclarse en el hígado para formar piruvato e incluso glucosa por una
vía llamada gluconeogénesis ("nueva síntesis de glucosa").
 
9.7 La enzima
La lactato deshidrogenasa (LDH) es la
enzima que cataliza esta reacción. Al igual que la deshidrogenasa de
gliceraldehído-3-fosfato, LDH es una deshidrogenasa unida a NADH y consta de
cuatro subunidades. Hay dos tipos de subunidades, designadas M y H, que varían
ligeramente en la composición de aminoácidos. La estructura cuaternaria del
tetrámero puede variar según las cantidades relativas de los dos tipos de
subunidades, produciendo cinco isozimas posibles. En el músculo esquelético
humano, predomina el tetrámero homogéneo del tipo M4, y en el corazón la otra
forma predominante es la otra posibilidad homogénea, el tetrámero H4. Las
formas heterogéneas (M3H, M2H2 y MH3) se producen en el suero sanguíneo. Una
prueba clínica muy sensible para la enfermedad cardíaca se basa en la
existencia de varias formas isoenzimáticas de esta enzima. Las cantidades
relativas de las isoenzimas H4 y MH3 en el suero sanguíneo aumentan
drásticamente después del infarto de miocardio (ataque cardíaco) en comparación
con el suero normal. Las diferentes isoenzimas tienen propiedades cinéticas
ligeramente diferentes debido a sus composiciones de subunidades. 
La isoenzima H4 (también llamada LDH 1)
posee una mayor afinidad por el lactato como sustrato. La isoenzima M4 (LDH 5)
es inhibida alostéricamente por el piruvato. Estas diferencias reflejan los
roles generales de las isoenzimas en el metabolismo. El músculo esquelético es
un tejido altamente anaeróbico, mientras que el corazón no lo es. Por supuesto,
el metabolismo anaeróbico no tiene lugar exclusivamente en el corazón y el
hígado.
 
9.8 Importancia
La ecuación (6)
revela que aunque es una reacción de consumo de energía, permite resolver los
dos problemas de envenenamiento por glucólisis, pues regenera el NAD+ y
convierte el peligroso piruvato en una sustancia fácilmente exportable al
exterior de la célula con una toxicidad más baja. La producción de lactato le
da tiempo al organismo que experimenta el metabolismo anaeróbico y desplaza
parte de la carga de los músculos hacia el hígado, en el cual la
gluconeogénesis puede reconvertir el lactato en piruvato y glucosa. Las mismas
consideraciones se aplican en la fermentación alcohólica (aparentemente uno
puede decir que las fermentaciones evolucionaron como contramedida para el
envenenamiento generado por la acumulación de piruvato y la disminución de NAD+).
Por otro lado, el NADH es un agente reductor
que se encuentra con frecuencia en muchas reacciones (es otro portador de
energía como el ATP), y se pierde para el organismo en la producción de lactato,
pero perder algo de energía es preferible a morir. 
 
9.9 Placa dental
La caries dental, es una de las
enfermedades más prevalentes en los Estados Unidos y posiblemente en el mundo,
aunque los tratamientos modernos como el flúor y el hilo dental han reducido en
gran medida su incidencia en los jóvenes. Los factores que contribuyen a la
caries dental son una combinación de una dieta alta en azúcares refinados, el
desarrollo de placa dental y el metabolismo anaeróbico.
La dieta alta en azúcar permite un rápido
crecimiento de bacterias en la boca, y la sacarosa es quizás el azúcar más
eficiente porque las bacterias pueden hacer que su polisacárido se
"pegue" de manera más eficiente a partir de este azúcar no reductor.
Las bacterias crecen en colonias pegajosas en expansión, formando placa en la
superficie del diente. 
Las bacterias que crecen debajo de la
superficie de la placa deben utilizar el metabolismo anaeróbico porque el
oxígeno no se difunde fácilmente a través de la superficie cerosa de la placa
dental. Los dos subproductos predominantes, lactato y piruvato, son ácidos
orgánicos relativamente fuertes, y estos productos ácidos en realidad destruyen
la superficie del esmalte. Las bacterias, por supuesto, crecen rápidamente en
los pozos. Si el esmalte se come por completo, las bacterias crecen aún más fácilmente
en la capa de dentina más blanda debajo del esmalte.
La fluoración da como resultado una
superficie de esmalte mucho más dura, y el fluoruro puede inhibir el
metabolismo de la bacteria. El uso diario del hilo dental altera la placa y las
condiciones anaeróbicas nunca comienzan.
 
9.10 Tipos de fermentación
láctica y rendimiento
La ecuación (6)
representa la homofermentación, en la cual el púnico producto es ácido láctico,
sin embargo no es la única ruta. 
Homofermentativa: Miremos el rendimiento de la ecuación desde la glucosa hasta el ácido láctico de la homofermentación:
(Eq.  9.2)
Las bacterias homofermentativas convierten
la glucosa en dos moléculas de lactato y usan esta reacción para realizar la
fosforilación a nivel de sustrato para producir dos moléculas de ATP. Así pues,
aunque el rendimiento energético es im perfecto, es positivo en cuanto a la
ganancia de 2 ATP por cada glucosa invertida.
Algunas cepas bacterianas importantes
identificadas como capaces de fermentar la lactosa son Escherichia, Citrobacter,
Enterobacter y Klebsiella. Los cuatro grupos pertenecen al género de las
enterobacterias. 
Heterofermentativa: Las bacterias heterofermentativas producen menos lactato y menos ATP, pero producen varios otros productos finales.
(Eq.  9.3)
Los ejemplos incluyen Leuconostoc mesenteroides, Lactobacillus
bifermentous y Leconostoc lactis.
Aunque se produce menos energía, aun se produce ATP, la ventaja de los
productos finales diversos es que tardarán más en acumularse y generar
toxicidad.
La
ruta de Bifidum: Bifidobacterium bifidum utiliza una vía de fermentación de ácido láctico que produce más
ATP que la fermentación homoláctica o la fermentación heterolactica:
(Eq.  9.4)
 
9.11 Importancia de la
fermentación láctica
Varios químicos descubrieron durante el siglo XIX algunos conceptos fundamentales del dominio de la química orgánica. Uno de ellos, por ejemplo, fue el químico francés Joseph Louis Gay-Lussac, que estaba especialmente interesado en los procesos de fermentación, y transmitió esta fascinación a uno de sus mejores estudiantes, Justus von Liebig. Con una diferencia de algunos años, cada uno de ellos describió, junto con sus colegas, la estructura química de la molécula de ácido láctico tal como la conocemos hoy.
Figura 9.1. Joseph-Louis Gay-Lussac, (Saint-Léonard-de-Noblat, 6 de diciembre de 1778-París, 9 de mayo de 1850) fue un químico y físico francés. Es conocido en la actualidad por su contribución a las leyes de los gases. En 1802, Gay-Lussac fue el primero en formular la ley según la cual un gas se expande proporcionalmente a su temperatura (absoluta) si se mantiene constante la presión (Ley de Charles) y que aumenta proporcionalmente su presión si el volumen se mantiene constante (Ley de Gay-Lussac).
Figura 9.2. Barón Justus
von Liebig (Darmstadt, 12 de mayo de 1803-Múnich, 18 de abril de 1873) fue un
químico alemán, considerado uno de los pioneros en el estudio de la química
orgánica.
Controversia
científica: En 1857, el químico francés Louis
Pasteur (Figura 3.1)
describió por primera vez el ácido láctico como el producto de una fermentación
microbiana. Durante este tiempo, trabajó en la universidad de Lille, donde una
destilería local le pidió consejo sobre algunos problemas de fermentación. Por
casualidad y con el laboratorio mal equipado que tenía en ese momento, pudo
descubrir que, en esta destilería, se estaban produciendo dos fermentaciones,
una de ácido láctico y otra alcohólica, ambas inducidas por microorganismos.
Luego continuó la investigación sobre estos descubrimientos en París, donde
también publicó sus teorías que presentaban una contradicción estable con la
versión puramente química representada por Liebig y sus seguidores.  Aunque Pasteur describió algunos conceptos que
todavía se aceptan hoy, Liebig se negó a aceptarlos. Pero incluso el propio
Pasteur escribió que estaba "impulsado" a una comprensión
completamente nueva de este fenómeno químico. Incluso si Pasteur no encontró
todos los detalles de este proceso, descubrió el mecanismo principal de cómo
funciona la fermentación microbiana de ácido láctico. Fue el primero en
describir la fermentación como una "forma de vida sin aire" (Benninga, 1990).
Antigüedad de sus usos: Aunque este proceso químico no se había descrito adecuadamente antes del trabajo de Pasteur, la gente había estado utilizando fermentación microbiana de ácido láctico para la producción de alimentos mucho antes. El análisis químico de los hallazgos arqueológicos muestra que los usos de fermentación de la leche son anteriores al período histórico; Sus primeras aplicaciones probablemente fueron parte de la Revolución Neolítica.
Figura 9.3. La fermentación
láctica de la leche crea productos lácticos de mayor duración y seguridad, sus
nombres dependen de la fuente de la leche, y el cultivo bacteriano de inicio.
Dado que la leche contiene naturalmente bacterias del ácido láctico, el descubrimiento del proceso de fermentación fue bastante evidente, ya que ocurre espontáneamente a una temperatura adecuada. El problema de estos primeros granjeros fue que la leche fresca es casi indigesta para los adultos, por lo que tenían interés en descubrir este mecanismo. De hecho, las bacterias del ácido láctico contienen las enzimas necesarias para digerir la lactosa, y sus poblaciones se multiplican fuertemente durante la fermentación. Por lo tanto, la leche fermentada incluso por poco tiempo contiene suficientes enzimas para digerir las moléculas de lactosa, una vez que la leche está en el cuerpo humano, lo que permite que los adultos la consuman.
Figura 9.4. Una sustancia
encontrada por los arqueólogos que trabajan en una tumba del antiguo Egipto ha
demostrado ser uno de los quesos más antiguos jamás descubiertos. La evidencia
arqueológica para hacer queso en Egipto se remonta a unos 5000 años. En 2018,
los arqueólogos de la Universidad de El Cairo y la Universidad de Catania
informaron sobre el descubrimiento del queso más antiguo conocido de Egipto.
Descubierto en la necrópolis de Saqqara, tiene alrededor de 3200 años (Satchanska,
Stefanova, Dicheva, Vatcheva-Dobrevska, & Tsenova, 2018)
Aún más seguro fue una fermentación más
larga, que se practicaba para la fabricación de queso. Este proceso también se
descubrió hace mucho tiempo, lo que se demuestra mediante recetas para la
producción de queso en escrituras cuneiformes, los primeros documentos escritos
que existen y un poco más tarde en textos babilónicos y egipcios. 
Con el aumento del consumo de productos
lácteos, estas sociedades desarrollaron una persistencia de la lactasa “enzima
de los tolerantes a la leche entera” por herencia epigenética, lo que significa
que la enzima lactasa que digiere la leche estuvo presente en su cuerpo durante
toda la vida, por lo que también podían beber leche no fermentada como adultos.
Esta habituación temprana al consumo de lactosa en las primeras sociedades de colonos
todavía se puede observar hoy en las diferencias regionales de la concentración
de esta mutación. Se estima que alrededor del 65% de la población mundial
todavía carece de ella (Brüssow, 2013). Dado que estas primeras sociedades vinieron de regiones del este
de Turquía al centro de Europa, el gen aparece con mayor frecuencia allí y en
América, ya que fue establecido por los europeos. Por el contrario, la
intolerancia a la lactosa está mucho más presente en los países asiáticos.
Los productos lácteos y su fermentación
han tenido una influencia importante en el desarrollo de algunas culturas. Este
es el caso en Mongolia, donde las personas a menudo practican una forma pastoral
de agricultura. La leche que producen y consumen en estos cultivos es
principalmente leche de yegua y tiene una larga tradición. Pero no todas las
partes o productos de la leche fresca tienen el mismo significado. Por ejemplo,
la parte con mas grasa en la parte superior, el "deež", se considera
la parte más valiosa y, por lo tanto, a menudo se usa para honrar a los
invitados. Recuerde que tener acceso a grasa en la antigüedad era algo difícil,
y por eso nuestro sentido del gusto la ama.
Muy importantes, a menudo con un
significado tradicional, también son los productos de fermentación de la leche
de yegua, como por ejemplo el yogur y kumis ligeramente alcohólico. El consumo
de estos durante las festividades culturales como el año nuevo lunar mongol (en
primavera). El momento de esta celebración se llama el "mes blanco",
lo que indica que los productos lácteos (llamados "alimentos blancos"
junto con verduras con almidón, en comparación con los productos cárnicos,
llamados "alimentos negros") son una parte central de esta tradición.
El propósito de estas festividades es "cerrar" el año pasado: limpiar
la casa o la yurta, honrar a los animales por haber proporcionado su comida y
preparar todo para la próxima temporada de verano, para estar listos para
"abrir" el nuevo año. Consumir comida blanca en este contexto festivo
es una forma de conectarse con el pasado y con una identidad nacional, que es
el gran imperio mongol personificado por Genghis Khan. Durante la época de este
imperio, la leche de yegua fermentada era la bebida para honrar y agradecer a
los guerreros y a las personas destacadas, no era para todos. Aunque finalmente
se convirtió en una bebida para las personas normales, ha mantenido su
significado honorable. Como muchas otras tradiciones, esta siente la influencia
de la globalización. Otros productos, como el yogurt industrial, que proviene
principalmente de China y países occidentales, han tendido a reemplazarlo cada
vez más, principalmente en áreas urbanas. Sin embargo, en las regiones rurales y
más pobres todavía es de gran importancia (Watanabe et al., 2008).
 10. Aplicaciones de la fermentación láctica 
|| Regresar al Índice || 
La fermentación láctica se usa en muchas
áreas del mundo para producir alimentos que no se pueden producir a través de
otros métodos. El género comercialmente más importante de bacterias
fermentadoras de ácido láctico es Lactobacillus,
aunque a veces se usan otras bacterias e incluso levaduras. Dos de las
aplicaciones más comunes de la fermentación de ácido láctico son la producción
de yogurt y chucrut.
 
10.1 Decapado
Un producto preparado por la fermentación
de azúcares de las bacterias del ácido láctico (LAB) presente en los trozos de
frutas y verduras. Tradicionalmente, la sal no yodada se introduce en las
verduras a través de una salmuera, que inhibe el deterioro pero permite el
crecimiento de lactobacilos. El producto preparado es rico en ácido láctico y
solo sobreviven las bacterias beneficiosas que pueden tolerar el pH del ácido
láctico. No solo asegura una buena calidad de nutrientes, sino que también es
una buena fuente de probióticos (Chiu, Tsai, Hsih, & Tsen, 2008). 
 
10.2 Pescado fermentado
En algunas cocinas asiáticas, el pescado
se fermenta tradicionalmente con arroz para producir ácido láctico que conserva
el pescado. Ejemplos de estos platos incluyen burong isda de Filipinas;
narezushi de Japón; y pla ra de Tailandia. El mismo proceso también se usa para
los camarones en Filipinas en el plato conocido como balao-balao (Rajauria, Sharma, Emerald, &
Jaiswal, 2016). 
 
10.3 Chucrut
La fermentación de ácido láctico también
se usa en la producción de chucrut. El principal tipo de bacteria utilizada en
la producción de chucrut es del género Leuconostoc
(Battcock & Ali, 1998). Como en el yogur, cuando la acidez aumenta debido a los
organismos de fermentación de ácido láctico, se matan muchos otros
microorganismos patógenos. La bacteria produce ácido láctico, así como
alcoholes simples y otros hidrocarburos. Estos pueden combinarse para formar
ésteres, contribuyendo al sabor único del chucrut.
 
10.4 Cerveza agria
El ácido láctico es un componente en la
producción de cervezas agrias, incluidos Lambics y Berliner Weisses (Nummer, 1996).
 
10.5 Yogur
El método principal para producir yogur es
a través de la fermentación de ácido láctico de la leche con bacterias
inofensivas. Las bacterias primarias utilizadas son típicamente Lactobacillus bulgaricus y Streptococcus thermophilus, y la ley de
los Estados Unidos y la europea exigen que todos los yogures contengan estos
dos cultivos (aunque se pueden agregar otros como cultivos probióticos). Estas
bacterias producen ácido láctico en el cultivo de leche, disminuyendo su pH y
haciendo que se congele. La bacteria también produce compuestos que le dan al
yogur su sabor distintivo. Un efecto adicional de la disminución del pH es la
incompatibilidad del ambiente ácido con muchos otros tipos de bacterias
dañinas. Para un yogur probiótico, también se agregan al cultivo tipos
adicionales de bacterias como Lactobacillus
acidophilus (Matalon & Sandine, 1986). 
 
10.6   10.7 En verduras
La bacteria lácticas (LAB) ya existen como
parte de la biota natural en la mayoría de las verduras. La lechuga y el
repollo se examinaron para determinar los tipos de bacterias del ácido láctico
que existen en las hojas. Los diferentes tipos de LAB producirán diferentes
tipos de fermentación de ensilaje, que es la fermentación del follaje frondoso (Yang, Cao, Cai, & Terada, 2010). La fermentación de ensilaje es una reacción anaeróbica que reduce
los azúcares a subproductos de fermentación como el ácido láctico.
 
10.8 Medicina
La fermentación de Lactobacillus y la producción acompañante de ácido proporciona un
microbioma vaginal protector que protege contra la proliferación de organismos
patógenos (Nardis, Mosca, & Mastromarino,
2013).
En pequeñas cantidades, el ácido láctico es bueno para el cuerpo humano al proporcionar energía. En personas intolerantes a la lactosa, se ha demostrado en pequeños estudios que la fermentación de la lactosa a ácido láctico ayuda a las personas intolerantes a la lactosa. El proceso de fermentación limita la cantidad de lactosa disponible. Con la cantidad de lactosa disminuida, hay menos acumulación dentro del cuerpo, lo que reduce la hinchazón. El éxito de la fermentación láctica fue más evidente en los cultivos de yogurt.
 11. Fermentación alcohólica 
|| Regresar al Índice || 
Otras dos reacciones relacionadas con la
vía glucolítica conducen a la producción de etanol por fermentación alcohólica.
Este proceso es uno de los destinos alternativos del piruvato. En la primera de
las dos reacciones que conducen a la producción de etanol, el piruvato se
descarboxila (pierde dióxido de carbono) para producir acetaldehído (Eq. 11.1). La
enzima que cataliza esta reacción es la piruvato descarboxilasa.
(Eq.  11.1)
El CO2 producido es responsable
de las burbujas en la cerveza y en los vinos espumosos. El acetaldehído se
reduce para producir etanol, y, al mismo tiempo, una molécula de NADH se oxida
a NAD+ por cada molécula de etanol producido.
(Eq.  11.2)
La reacción de reducción de la
fermentación alcohólica es similar a la reducción del piruvato a lactato, en el
sentido de que proporciona el reciclaje de NAD+ y, por lo tanto,
permite reacciones adicionales de oxidación anaeróbica (fermentación), así como
la conversión del piruvato a una sustancia menos tóxica que se exportará fuera
de la célula.
 
11.1 Rendimiento
La reacción neta para la fermentación
alcohólica es.
(Eq.  11.3)
NAD+ y NADH no aparecen
explícitamente en la ecuación neta. Es esencial que el reciclaje de NADH a NAD+  tenga lugar aquí, tal como ocurre cuando se
produce lactato, para que pueda haber más oxidación anaeróbica. Alcohol
deshidrogenasa, la enzima que cataliza la conversión de acetaldehído a etanol,
es similar a la lactato deshidrogenasa en muchos sentidos. La similitud más
sorprendente es que ambas son deshidrogenasas ligadas a NADH, y ambas son
tetrámeros.
 
11.2 Efecto del oxígeno
La fermentación no requiere oxígeno. Si
hay oxígeno presente, algunas especies de levadura (por ejemplo, Kluyveromyces lactis o Kluyveromyces lipolytica) oxidarán el
piruvato completamente a dióxido de carbono y agua en un proceso llamado respiración
celular, por lo tanto, estas especies de levadura producirán etanol solo en un
ambiente anaeróbico (no celular respiración). Este fenómeno se conoce como el efecto Pasteur.
Sin embargo, muchas levaduras, como la
levadura de panadería comúnmente utilizada Saccharomyces
cerevisiae o la levadura de fisión Schizosaccharomyces
pombe bajo ciertas condiciones, fermentan en lugar de respirar incluso en
presencia de oxígeno. En la elaboración del vino, esto se conoce como el efecto contrapasteur. Estas levaduras
producirán etanol incluso en condiciones aeróbicas, si se les proporciona el
tipo adecuado de nutrición. Durante la fermentación discontinua, la tasa de
producción de etanol por miligramo de proteína celular es máxima durante un
breve período temprano en este proceso y disminuye progresivamente a medida que
el etanol se acumula en el caldo circundante. Los estudios demuestran que la
eliminación de este etanol acumulado no restablece inmediatamente la actividad
fermentativa, y proporcionan evidencia de que la disminución de la tasa
metabólica se debe a cambios fisiológicos (incluido el posible daño por etanol)
más que a la presencia de etanol. Se han investigado varias causas potenciales
para la disminución de la actividad fermentativa. La viabilidad permaneció
igual o superior al 90%, el pH interno permaneció cerca de la neutralidad y las
actividades específicas de las enzimas glucolíticas y alcohólicas (medidas in
vitro) se mantuvieron altas durante la fermentación discontinua. Ninguno de
estos factores parece estar relacionado causalmente con la caída de la
actividad fermentativa durante la fermentación discontinua.
 
11.3 Bebidas alcohólicas
Todo el etanol contenido en las bebidas
alcohólicas (incluido el etanol producido por maceración carbónica) se produce
mediante fermentación inducida por la levadura.
El vino se produce por fermentación de los
azúcares naturales presentes en las uvas; la sidra y la perada se producen por
fermentación similar de azúcar natural en manzanas y peras, respectivamente; y
otros vinos de frutas se producen a partir de la fermentación de los azúcares
en cualquier otro tipo de fruta. El brandy y el eaux de vie (por ejemplo,
slivovitz) se producen por destilación de estas bebidas fermentadas con frutas.
El hidromiel se produce por fermentación
de los azúcares naturales presentes en la miel.
La cerveza, el whisky y el vodka se
producen por fermentación de almidones de grano que la enzima amilasa ha
convertido en azúcar, que está presente en los granos de grano que han sido
malteados (es decir, germinados). Se pueden agregar a la mezcla otras fuentes
de almidón (por ejemplo, papas y granos no malteados), ya que la amilasa
también actuará sobre esos almidones. También puede ser inducida por amilasa
fermentada con saliva en algunos países. Whisky y vodka también se destilan; La
ginebra y las bebidas relacionadas se producen mediante la adición de agentes
aromatizantes a una materia prima tipo vodka durante la destilación.
Los vinos de arroz (incluido el sake) se
producen por la fermentación de almidones de granos convertidos en azúcar por
el moho Aspergillus oryzae. Baijiu, soju y shōchū se destilan del producto de
dicha fermentación.
El ron y algunas otras bebidas se producen
por fermentación y destilación de la caña de azúcar. El ron generalmente se
produce a partir de la melaza del producto de la caña de azúcar.
En todos los casos, la fermentación debe
llevarse a cabo en un recipiente que permita que escape el dióxido de carbono
pero que evite la entrada de aire exterior. Esto es para reducir el riesgo de
contaminación de la infusión por bacterias o mohos no deseados y porque la
acumulación de dióxido de carbono crea un riesgo la vasija se romperá o
fallará, posiblemente causando lesiones o daños a la propiedad.
 Referencias bibliográficas 
|| Regresar al Índice || 
Alberts, B., Johnson, A., Lewis, J., Morgan, D., Raff, M.,
Roberts, K., & Walter, P. (2015). Molecular biology of the cell (5th
ed.). Garland Science.
Barnett, J. A. (2003). A history of research on yeasts 5: the fermentation
pathway. Yeast, 20(6), 509–543.
Battcock, M., & Ali, S. A. (1998). Bacterial fermentations.
Fermented fruits and vegetables a global perspective, V. d. T. d. C. FAO, ed.
Food and Agriculture Organization, Rome, Italy.
Beis, I., & Newsholme, E. A. (1975). The contents of adenine
nucleotides, phosphagens and some glycolytic intermediates in resting muscles
from vertebrates and invertebrates. Biochemical Journal, 152(1),
23–32.
Belk, C., & Maier, V. B. (2013). Biology Science for Life with
physiology. (Pearson, Ed.) (4th ed.).
Benninga, H. (1990). A history of lactic acid making: a chapter in the
history of biotechnology (Vol. 11). Springer Science & Business Media.
Berg, J. M., Tymoczko, J. L., Gatto, G. J., & Stryer, L. (2015). Biochemistry
(8th ed.). Freeman.
Brooker, R. J., Widmaier, E. P., Graham, L. E., & Stiling, P. D.
(2017). Biology (4th ed.). McGraw-Hill Education.
Brüssow, H. (2013). Nutrition, population growth and disease: a short
history of lactose. Environmental Microbiology, 15(8), 2154–2161.
Campbell, M. K., & Farrell, S. O. (2009). Biochemistry (6th
ed.). USA: Thomsom Brooks/Cole.
Chiu, H., Tsai, C., Hsih, H., & Tsen, H. (2008). Screening from
pickled vegetables the potential probiotic strains of lactic acid bacteria able
to inhibit the Salmonella invasion in mice. Journal of Applied Microbiology,
104(2), 605–612.
Cornish-Bowden, A. (1997). Harden and Youngs discovery of fructose-1,
6-bisphosphate. New Beer in an Old Bottle: Edward Buchner and the Growth of
Biochemical Knowledge, 135–148.
Cox, M. M., Doudna, J. A., & O’Donnell, M. (2012). Molecular
biology (1st ed.). Freeman.
Gray, L. R., Tompkins, S. C., & Taylor, E. B. (2014). Regulation of
pyruvate metabolism and human disease. Cellular and Molecular Life Sciences,
71(14), 2577–2604.
Hoefnagels, M. (2015). Biology: concepts and investigations (3rd
ed.). McGraw-Hill New York.
Karp, G. C. (2013). Cell and Molecular Biology, Concepts and
Experiments (7th ed.). USA: Wiley Online Library.
Koeslag, J. H., Saunders, P. T., & Terblanche, E. (2003). A
reappraisal of the blood glucose homeostat which comprehensively explains the
type 2 diabetes mellitus–syndrome X complex. The Journal of Physiology, 549(2),
333–346.
Kohler, R. (1971). The background to Eduard Buchner’s discovery of
cell-free fermentation. Journal of the History of Biology, 35–61.
Kresge, N., Simoni, R. D., & Hill, R. L. (2005). Otto Fritz Meyerhof
and the elucidation of the glycolytic pathway. Journal of Biological
Chemistry, 280(4), e3–e3.
Mackean, D. G., & Hayward, D. (2014). Biology (3rd ed.). IGCSE
Cambridge.
Mader, S. S. (2010). Biology (10th ed.). McGraw-Hill Education.
Mader, S. S., & Windelspecht, M. (2015). Biology (12th ed.).
McGraw-Hill Education.
Mader, S. S., & Windelspecht, M. (2018). Essentials of biology
(5th ed.). McGraw-Hill Education.
Mason, K. A., Losos, J. B., Singer, S. R., & Raven, P. H. (2014). Biology
(7th ed.). McGraw-Hill New York.
Matalon, M. E., & Sandine, W. E. (1986). Lactobacillus bulgaricus,
Streptococcus thermophilus and yogurt: a review. Cultured Dairy Products
Journal (USA).
Murray, R. K., Bender, D. A., Botham, K. M., Kennelly, P. J., Rodwell, V.,
& Weil, A. (2012). Harpers Illustrated Biochemistry (29th ed.).
McGraw-Hill Medical.
Nardis, C., Mosca, L., & Mastromarino, P. (2013). Vaginal microbiota
and viral sexually transmitted diseases. Ann Ig, 25(5), 443–456.
Nummer, B. A. (1996). Brewing with lactic acid bacteria. Brewing
Techniques, 4(3), 56–63.
Pollard, T. D., Earnshaw, W. C., Lippincott-Schwartz, J., & Johnson,
G. T. (2017). Cell Biology (3rd ed.). Elsevier.
Rajauria, G., Sharma, S., Emerald, M., & Jaiswal, A. K. (2016). Novel
Fermented Marine-Based Products. In Novel Food Fermentation Technologies
(pp. 235–262). Springer.
Raju, T. N. (1998). The Nobel chronicles. 1922: Archibald Vivian Hill
(1886-1977), Otto Fritz Meyerhof (1884-1951). Lancet (London, England), 352(9137),
1396.
Reece, J. B., Urry, L. A., Wasserman, S. A., Cain, M. L., Minorsky, P. V,
& Jackson, R. B. (2014). Campbell Biology (10th ed.). Pearson Higher
Ed.
Sadava, D., Berenbaum, M., & Hillis, D. (2014). Life the Science of
Biology (10th ed.). Sinauer & MacMillian.
Satchanska, G., Stefanova, P., Dicheva, V., Vatcheva-Dobrevska, R., &
Tsenova, M. (2018). Microbiological Quality and Presence of Foodborne Pathogens
in Full-Fat Cow’s Yellow Cheese in Bulgaria. ACTA MICROBIOLOGICA
BULGARICA, 34(3), 165.
Simon, E. J., Dickey,
J. L., & Reece, J. B. (2013). Essential
biology (Pearson).
Solomon, E., Martin, C., Martin, D. W., & Berg, L. R. (2014). Biology
(10th ed.). Cengage Learning.
Starr, C., Evers, C., & Starr, L. (2013). Biology: Today and
Tomorrow With Physiology (4th ed.). Brooks/Cole.
Taylor, M. R., Simon, E. J., Dickey, J. L., Hogan, K., & Reece, J. B.
(2018). Biology, Concepts and conections (9th ed.). Boston: Pearson
education.
Urry, L. A., Cain, M. L., Minorsky, P. V, Wasserman, S. A., & Reece,
J. B. (2017). Campbell Biology (11th ed.). Pearson.
Watanabe, K., Fujimoto, J., Sasamoto, M., Dugersuren, J., Tumursuh, T.,
& Demberel, S. (2008). Diversity of lactic acid bacteria and yeasts in
Airag and Tarag, traditional fermented milk products of Mongolia. World
Journal of Microbiology and Biotechnology, 24(8), 1313–1325.
Weaver, R. F. (2012). Molecular biology (5th ed.). McGraw-Hill
Education.
Yang, J., Cao, Y., Cai, Y., & Terada, F. (2010). Natural populations
of lactic acid bacteria isolated from vegetable residues and silage
fermentation. Journal of Dairy Science, 93(7),
3136–3145.
No hay comentarios:
Publicar un comentario